1. 开篇语
各位小伙伴,大家好。
在上一期我们介绍了推行QCC小组活动中常用的一个统计工具:排列图,通过排列图找出影响问题的关键因素。本期我们介绍QCC小组活动在原因分析阶段常用到的分析工具:因果图、关联图、系统图。
2. 因果图(Cause and Effect Diagram)
2.1因果图定义:因果图是以结果作为特性,以原因为因素,层层展开以分析因果关系,寻找根本原因的一种图示分析工具。因果图又称为:石川图、鱼骨图、特性要因图。
– 石川图:是由日本著名的质量管理大师石川馨发明的,所以也称作石川图。
– 鱼骨图:因很像一只吃完鱼肉,只剩骨头的鱼(头和鱼刺),所以又称作鱼骨图。
– 特性要因图:是表示质量特性波动与其潜在原因的关系,即表达和分析因果关系的图,所以也称作做特性要因图。
2.2 因果图应用:在制造系统的因果关系分析时,因果图通常从人机料法环测进行展开,逐步分析到末端因素,具体如下:

从因果图看到,缸孔直径小是问题(结果),通过因果图的人机料法环测展开分析,红色的字为末端因素(原因)。在QCC小组活动中,要求要把所有的末端因素进行验证,找出影响缸孔直径小的主要原因。
2.3 应用因果图分析原因时需要注意的事项:
– 必须针对一个问题作一张因果图,分析其影响原因;
– 让小组成员充分发表意见,找出可能存在的全部原因;
– 因果关系用箭头连接,形成原因层级,直至可直接采取对策的末端原因;
– 各原因之间不能有交叉影响,每个原因是独立的;
– 因果图,最多分析到第四层,通常分析到第三层;
– 应对分析出来的所有末端原因,逐个到现场加以确认。
因果图在QCC小组活动中,找到的可能的末端因素很多,有时二三十个,而且所有的末端因素都要去验证是否是要因,工作量相对繁重,因此通常在QCC小组活动中,小组成员更愿意选择关联图,下面我们介绍一下关联图。
3. 关联图(Correlation Graph)
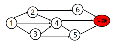
3.1关联图就是把关系复杂且相互纠缠的问题及其因素,用箭头连接起来的一种图示分析工具,是用来找出主要因素和项目的方法。各因素之间有相互关系,或有1个以上的问题分析,通常会用到关联图。
3.2关联图有两种:单一问题分析和多个问题分析。
1)分析单一问题

2)分析两个或两个以上问题

3.3关联图的判别方法:

3.4 关联图应用案例:
1)分析单一问题:不合格发生多
2)分析2个问题(直径超差和粗糙度低)

4. 系统图(System Diagram)
4.1系统图(也称作树图),就是把要实现的目的与需要采取的措施或手段,系统地展开,并绘制成图,以明确问题的重点,寻找最佳手段或措施的一种方法。
4.2 系统图的特点:
– 很容易地对事项进行展开;
– 易于统一成员的意见;
– 易于整理,手段又一目了然。
4.3系统图类型:
1)结构因素展开型(上一级手段成为下一级手段的行动目的)
2)方法展开型

4.4 系统图的适用范围:
– 新产品研制过程中设计质量的展开;
– 制订质量保证计划,对质量活动进行展开;
– 与因果图结合使用;
– 目标、方针、实施事项的展开;
– 明确部门职能、管理职能;
– 对解决企业有关质量、成本、交货期等问题的创意进行展开。
4.5系统图应用案例:
.png)
5. 汇总分析
在QCC小组活动中,通常会用到因果图、关联图、系统图,这三个工具的比较如下,大家可以根据不用的情况和使用场合,选择合适的工具。

6. 结束语
因果图、关联图、系统图都是寻找可能原因的分析工具,这是原因分析的第一步。在这一步骤中,我们的主要目的是利用团队的知识和经验尽可能多地识别问题的影响因素,并聚集在最可能的原因上。
下一期,我将介绍QCC活动用到的确定主要原因的工具:散布图。
感谢您的阅读。
相关课程:



